Uploaded image for project: 'Instrument control development'
  1. Instrument control development
  2. INSTRM-1438

pfilamps controlled exposure time does not look linear

    XMLWordPrintable

    Details

      Description

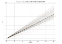
      Just looking with Neven at the pfilamps data we have from the september run.
      although the shutter controlled looks perfectly fine see attached, we still have some reservations about the lamp controlled.

      Comparing neon lamp controlled (visit=67717..67722) and shutter controlled(visit=68075..68078), we can see some discrepancies at short exposure time, we have more flux that expected.

      At first, I was not too worried because I knew that they were problem in the early stages, but looking at the logs, I don't see any obvious problem and again we have too much flux so it's not a problem of opening the shutter too early/late.
      It rather looks as if the lamps were actually turned on for a longer time than requested/expected.

      Moreover, more recent halogen data(lamp controlled: visit=68323..68327, 68101^68104^68106^68107), shutter controlled(68083..68087).
      show the consistent pattern, so my guess is that the problem is still there.

        Attachments

          Issue Links

            Activity

              People

              • Assignee:
                Unassigned
                Reporter:
                arnaud.lefur arnaud.lefur
              • Votes:
                0 Vote for this issue
                Watchers:
                5 Start watching this issue

                Dates

                • Created:
                  Updated: