Uploaded image for project: 'Instrument control development'
  1. Instrument control development
  2. INSTRM-1792

Reading MCS boresight from database instead of hard coded.

    XMLWordPrintable

    Details

      Description

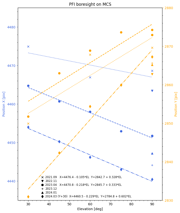
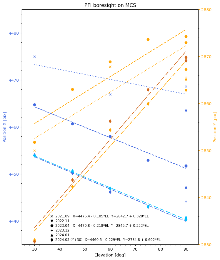
      Here in the pfs_utils, the boresight location is hard coded based on different elevation angle with initial value. We should think about possibility of using database value.

      rhl Do you have any suggestion?

        Attachments

        1. mcs_boresight_comp.py
          2 kB
          yuki.moritani
        2. image-2024-01-18-12-25-20-174.png
          72 kB
          yuki.moritani
        3. plot_boresight_202403.png
          87 kB
          yuki.moritani
        4. plot_boresight_202405_run16.png
          102 kB
          yuki.moritani

          Issue Links

            Activity

              People

              • Assignee:
                karr karr
                Reporter:
                chyan chyan
              • Votes:
                0 Vote for this issue
                Watchers:
                4 Start watching this issue

                Dates

                • Created:
                  Updated:
                  Resolved: