Uploaded image for project: 'Instrument control development'
  1. Instrument control development
  2. INSTRM-2475

Mis-identification of FF in the run 20

    XMLWordPrintable

    Details

    • Sprint:
      PreRun21Mar, PostRun21Mar, PreRun22May2025, PreRun23Jun2025

      Description

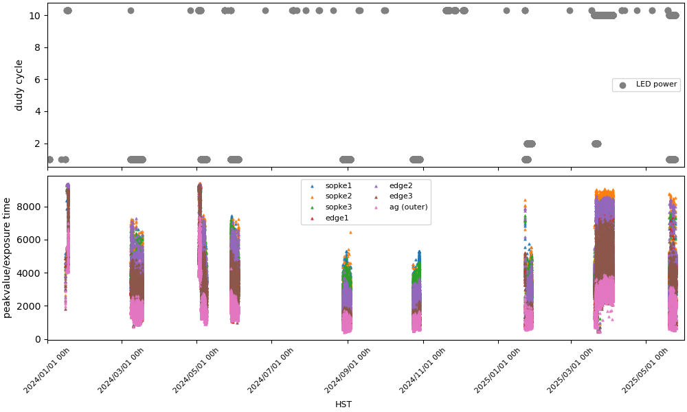
      While looking into the data showing terrible flux loss in the run 20 (PIPE2D-1580), I noticed that FF was mis identified during the convergence.

      [fluxloss_20250215.pdf (see pages 17–19)

      Mis-identified FF affected calculation of distortion, which probably made the cobras position wrong. At that time, FF was fainter than before, but the mis-identification occurred at later iteration, when MCS exposure time was longer (4.8s). 

        Attachments

        1. FF_brightness_pebPower_run21_zoom.png
          FF_brightness_pebPower_run21_zoom.png
          125 kB
        2. FF_brightness_pebPower_run22.png
          FF_brightness_pebPower_run22.png
          133 kB
        3. FF_brightness_pebPower.png
          FF_brightness_pebPower.png
          93 kB
        4. ff_update.pdf
          316 kB
        5. ff.pdf
          315 kB

          Issue Links

            Activity

              People

              • Assignee:
                karr karr
                Reporter:
                yuki.moritani yuki.moritani
              • Votes:
                0 Vote for this issue
                Watchers:
                2 Start watching this issue

                Dates

                • Created:
                  Updated:
                  Resolved: