Uploaded image for project: 'DRP 2-D Pipeline'
  1. DRP 2-D Pipeline
  2. PIPE2D-1089

Add PFI illumination to 2d PSF code

    XMLWordPrintable

    Details

    • Type: Task
    • Status: Done (View Workflow)
    • Priority: Normal
    • Resolution: Done
    • Affects Version/s: None
    • Fix Version/s: None
    • Component/s: None
    • Labels:
      None
    • Story Points:
      6

      Description

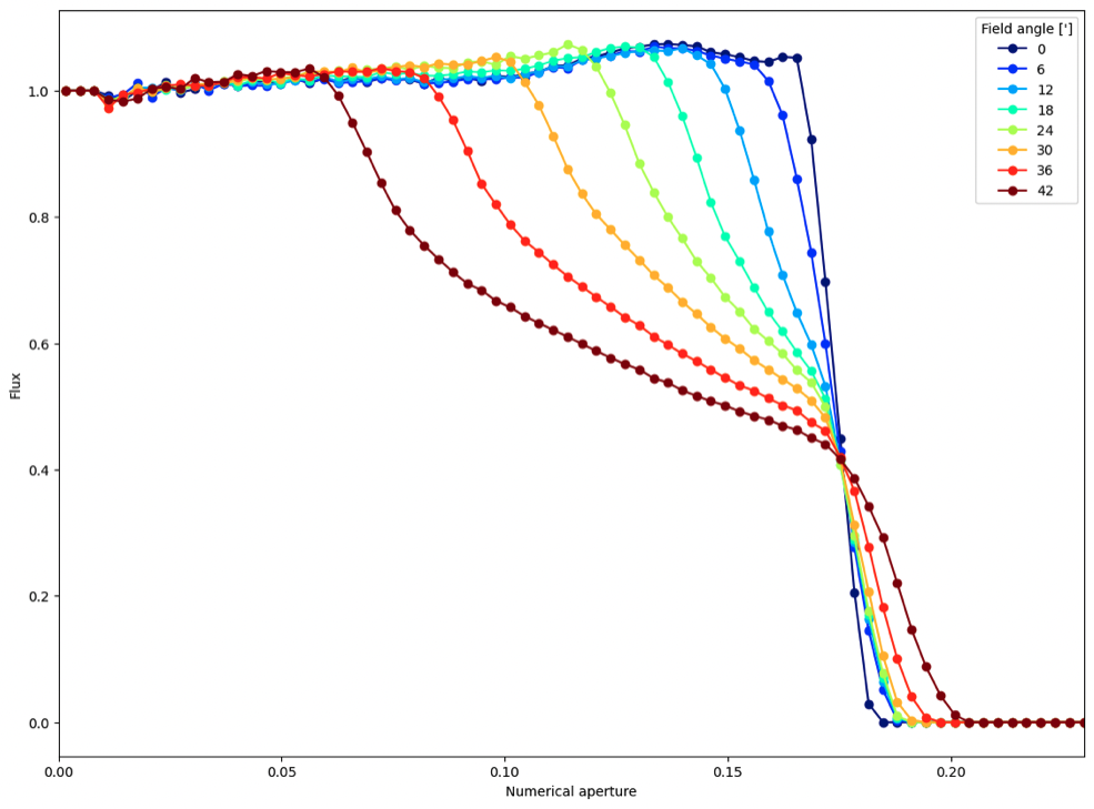
      PFI illuminates the camera, and therefore the pupil differently than dummy cable B. At the moment Zernike_Code can only accept constant illumination of the pupil. The task is to be able to accept custom illumination of the pupil. At the beginning, the plan is to implement the possibility to accept theoretical illumination predictions, produced by JEG.

        Attachments

          Issue Links

            Activity

              People

              • Assignee:
                kota.hayashi Kota Hayashi
                Reporter:
                ncaplar ncaplar
                Reviewers:
                ncaplar
              • Votes:
                0 Vote for this issue
                Watchers:
                3 Start watching this issue

                Dates

                • Created:
                  Updated:
                  Resolved: