Uploaded image for project: 'DRP 2-D Pipeline'
  1. DRP 2-D Pipeline
  2. PIPE2D-323

Effects of attenuator on the flux for the LAM data

    XMLWordPrintable

    Details

    • Type: Task
    • Status: Done (View Workflow)
    • Priority: Normal
    • Resolution: Done
    • Affects Version/s: None
    • Fix Version/s: 6.0
    • Component/s: None
    • Labels:
      None
    • Story Points:
      3

      Description

      Flux in the LAM data is quite high - higher than in the data taken last in December 2017. We have recently realized that we want to have exposure times of at least 10 sec (probably closer to 15) to minimize effects of the shutter transit on the PSFs. This requires the use of the attenuator. The ticket is to estimate how does the flux change as a function of the variable ``attenuator'' in https://people.lam.fr/madec.fabrice/pfs/ait_logbook_SM1.html.

      Overview.png gives overview of the behavior of the flux, as a function of attenuator. Analysis was done on one of the fainter lines to show the full range. At higher attenuations there are some deviations from linear behavior. 

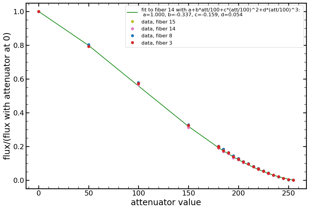
      One fiber fit gives the result for fitting one fiber (14 in the overview.png image).  I checked that results are quite similar across different fibers (you can see that also in the figure, where I also show data for 3 other fibers) and for 2 different lines.

      One fiber fit_bright_check.png just shows that result which I derived from the faint line (in order to cover the whole range of attenuator values) are consistent with the values determined from the very bright line which can only be analyzed at high levels of attenuation.

       

       

        Attachments

        1. One fiber fit_bright_check.png
          One fiber fit_bright_check.png
          89 kB
        2. One fiber fit.png
          One fiber fit.png
          73 kB
        3. Overview.png
          Overview.png
          220 kB

          Activity

            People

            • Assignee:
              ncaplar ncaplar
              Reporter:
              ncaplar ncaplar
              Reviewers:
              fmadec
            • Votes:
              0 Vote for this issue
              Watchers:
              5 Start watching this issue

              Dates

              • Created:
                Updated:
                Resolved: