Uploaded image for project: 'DRP 2-D Pipeline'
  1. DRP 2-D Pipeline
  2. PIPE2D-355

Model the 2D PSF using PSFEx

    XMLWordPrintable

    Details

    • Type: Task
    • Status: Won't Fix (View Workflow)
    • Priority: Normal
    • Resolution: Won't Fix
    • Affects Version/s: None
    • Fix Version/s: None
    • Component/s: None
    • Labels:
      None
    • Story Points:
      5
    • Sprint:
      2DDRP-2019 C, 2DDRP-2019 D, 2DDRP-2019 E, 2DDRP-2019 F, 2DDRP-2019 G, 2DDRP-2019 H, 2DDRP-2019 I, 2DDRP-2019 J, 2DDRP-2019 K, 2DDRP-2020 A, 2DDRP-2021 A

      Description

      Using the external tool PSFEx, model the 2D PSF.

      This can subsequently be used by PIPE2D-333 to construct a 1D LSF.

      Success criteria will be provided in due course.

        Attachments

        1. arc_ne_17244_psfex_1d_residual_map.png
          arc_ne_17244_psfex_1d_residual_map.png
          158 kB
        2. arc_ne_17244_psfex_2d_residual_1d_ex1.png
          arc_ne_17244_psfex_2d_residual_1d_ex1.png
          67 kB
        3. arc_ne_17244_psfex_2d_residual_ex1.png
          arc_ne_17244_psfex_2d_residual_ex1.png
          43 kB
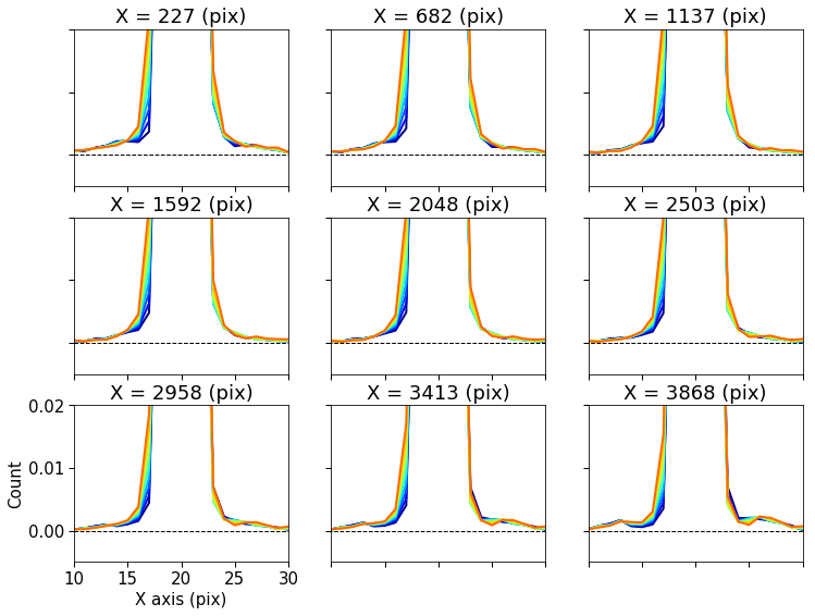
        4. arc_ne_17244_psfex_xstack.png
          arc_ne_17244_psfex_xstack.png
          72 kB
        5. arc_ne_17244_psfex_ystack.png
          arc_ne_17244_psfex_ystack.png
          78 kB
        6. arc_ne_17244_psfex.png
          arc_ne_17244_psfex.png
          356 kB
        7. Basis_number_40.png
          Basis_number_40.png
          38 kB
        8. Figure 2-2.png
          Figure 2-2.png
          201 kB
        9. image (4).png
          image (4).png
          345 kB
        10. oversampling_issue_psf_cutout.png
          oversampling_issue_psf_cutout.png
          9 kB

          Issue Links

            Activity

              People

              • Assignee:
                kiyoto.yabe Kiyoto Yabe
                Reporter:
                hassan hassan
              • Votes:
                0 Vote for this issue
                Watchers:
                6 Start watching this issue

                Dates

                • Created:
                  Updated:
                  Resolved: